Длительность работы с проектом:
2015 год – по настоящее время
Цели проекта:
- Увеличение числа целевых обращений
- Увеличение объема роста продаж
- Повышение узнаваемости бренда
- Повышение лояльности аудитории
- Поиск идеальной пропорции Входящие обращения/Бюджет
Первичные работы по запуску проекта:
- Настройка веб-аналитики:
- Установка и настройка GTM;
- Установка и настройка Google Analytics;
- Установка и настройка Яндекс.Метрики;
- Подключение модуля электронной торговли;
- Настройка сервисов отслеживания:
- Подключение OWOX BI в качестве сервиса импорта расходов в Google Analytics;
- Переход на собственный сервис импорта расходов в Google Analytics и Яндекс.Метрику;
- Подключение, настройка и последующая работа с сервисом коллтрекинга Calltouch;
- Проведение рекламной кампании:
- Настройка и ведение рекламных кампаний;
- Анализ хода рекламных кампаний с последующей оптимизацией;
- Тестирование новых инструментов рекламных систем в пределах 20% от общего бюджета клиента.
Общие данные о ходе рекламных кампаний представлены за период с 2015 по 2020 год. Ниже будет приведен разбор каждого года с описанием этапов работ.
Рекламных бюджет в разрезе лет:

Число обращений в разрезе лет:

Стоимость обращения в разрезе лет:

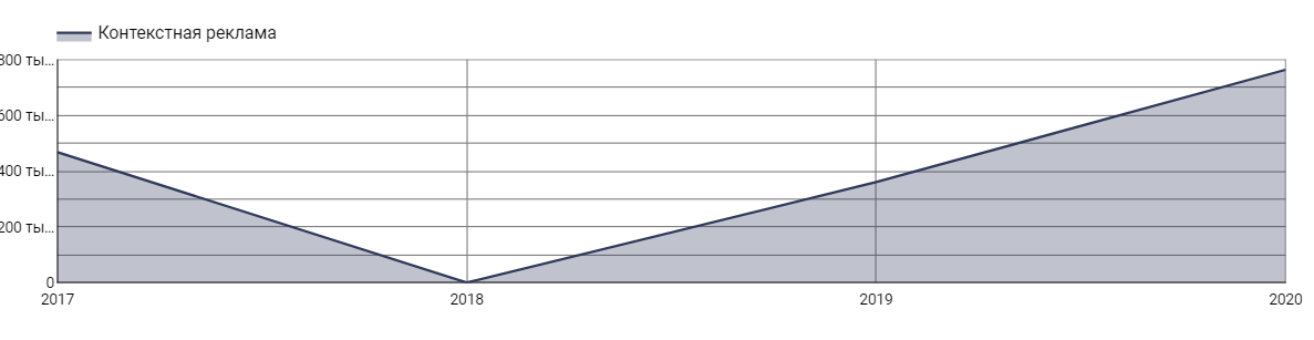
Доход в разрезе лет (только данные электронной коммерции – 10-15% от общего хода):

1 год работ (2015 год)
Работа была начата не с начала года. Основными задачами были:
- Настройка базовой веб-аналитики
- Настройка рекламных кампаний
- Сбор статистических данных
- Выдержка стоимости обращения в заданном диапазоне
Были выполнены следующие работы:
- Создание и настройка счетчиков веб-статистики – Google Analytics и Яндекс.Метрики:
- Настройка целей и событий;
- Настройка сегментов;
- Формирование шаблонов отчетности (на данном этапе по условиям конфиденциальности клиент не разглашал данные о продажах и был против подключения электронной торговли, поэтому для него был сформирован шаблон отчета, который в последующем специалисты клиента накладывали на свои отчеты и делились общими результатами относительно рентабельности и доли рекламных расходов).
- Настройка рекламных кампаний в Яндекс.Директ и Google Ads:
- Рекламные кампании по основным направлениям сайта клиента (Поиск, рекламные сети);
- Рекламные кампании по брендам производителей представленные на сайте клиента (Поиск, рекламные сети);
- Рекламные кампании по конкурентам (Поиск, рекламные сети);
- Брендовые рекламные кампании (Поиск, рекламные сети);
- Работы по оптимизации рекламных кампаний:
- Работа с бюджетами (перераспределение в сторону более конверсионных и рентабельных для клиента направлений);
- Работа со ставками с целью получения наиболее оптимальных позиций, не выходя за рамки диапазона допустимой стоимости обращения.
Результаты:
- После запуска рекламных кампаний была собрана необходимая статистика по входящим обращениям, определены оптимальные бюджеты и ставки внутри каждого направления и каждой рекламной кампании.
- Получение входящих обращений по стоимости, не выходящей за пределы допустимого диапазона (700 рос. руб. с НДС).
- Получена необходимая для дальнейшего анализа и работы статистика.
- Даны рекомендации на следующий период совместно с годовым медиапланом (подключение коллтрекинга, динамических рекламных кампаний по фиду).
2 год работы (2016 год)
В рамках второго года основными задачами были:
- Подключение коллтрекинга, в связи с тем, что одним из основных источников обращений клиента были звонки;
- Подключение и настройка онлайн консультанта (Jivosite);
- Снижение стоимости входящих обращений (звонки, заказы через сайт, обращения в Jivosite);
- Увеличение роста входящих обращений без изменения бюджета;
Были выполнены следующие работы:
- Подключение и настройка сервиса коллтрекинга Calltouch;
- Подключение и настройка онлайн-консультанта Jivosite;
- Формирование фидов для рекламных систем;
- Настройка динамических рекламных кампаний по каждой товарной категории сайта клиента;
- Настройка динамического ремаркетинга в Google Ads.
Результаты:
- Рост числа обращений более чем на 1000% (обусловлено, прежде всего, донастройкой отслеживания других типов обращений, что сделало работу более прозрачной);
- Дополнительная настройка дала понять, что стоимость входящих обращений с контекстной рекламы была значительно ниже, чем было определено за прошлый год;
3 год работы (2017 год)
После проведения тщательного анализа результатов работы и в целом работы бизнеса клиента были определены следующие значимые задачи:
- Масштабирование входящих обращений при условии увеличения бюджета клиента;
- Определение доли дохода через сайт – настройка электронной коммерции (клиент дал разрешение на подключение данного модуля);
- Снижение стоимости входящих обращений до минимума без потери по количеству обращений.
- Подключение нового на тот момент инструмента – Смарт-баннеры в Яндекс.Директ (аналог уже работающего в Google Ads (тогда еще AdWords) динамического ремаркетинга по фиду);
- Контроль конкуренции на рынке;
Выполненные работы:
- Настройка и запуск Смарт-баннеров;
- Работа с бюджетами и ставками, расширение бюджетов и охвата рекламных кампаний с целью получения большего числа обращений;
- Настройка и подключение модулей электронной коммерции в Яндекс.Метрике и Google Analytics;
- Определение минимально допустимой цены лида без потери в их количестве;
- Тщательный анализ конкуренции на рынке, который ближе к концу года помог выявить 5 новых крупных конкурентов и учесть это при планировании бюджета на следующий год.
Результаты:
- Увеличение числа обращений более чем в 2 раза;
- Снижение стоимости обращений на 5-7% (результат был неплохим, поскольку к этому времени на рынке уже появились крупные конкуренты);
- Накопление нужны статистических данных для анализа и последующей работы;
4 год работы (2018 год)
Основные задачи на год:
- Увеличение числа входящих обращений при условии увеличения общего бюджета клиента. Необходимо было учесть, что любое дальнейшее увеличение было невозможно без увеличения стоимости лида, также необходимо было учесть выход новых сильных и крупнобюджетных конкурентов рынке. Основная цель была увеличение обращений в допустимом диапазоне их стоимости (по-прежнему 700 рос. руб с НДС).
- После подключения электронной торговли мы обнаружили, что объемы продаж сайта слишком низкие, более того, объем покупок через корзину на протяжении всего времени составлял не более 5% ото всех заявок. В качестве цели был заложен рост покупок через сайт до 10%.
Выполненные работы:
- Работа с бюджетами и ставками по текущим рекламных кампаниям;
- Разработка баннеров и креативов была возложена на нашего штатного дизайнера (ранее клиент не предоставлял баннеры вообще и был против их использования);
- Сайт клиента был подключен к сервису Google Merchant Center, была настроена торговая кампания.
- Часть кампаний были переведены на автоматические стратегии, направленные на оптимизацию по конверсиям и ROI.
- К сожалению в конце прошлого года клиент снова запретил сбор данных электронной коммерции, поэтому он был отключен в счетчиках веб статистики (однако покупки через корзину продолжили отслеживать (не отслеживали только узкие данные – доход, средний чек и др.)).
- Максимальная настройка ремаркетинга (брошенные корзины, просмотры категория товаров и др.) – был выделен отдельный крупный бюджет, который позволил получить отличные результаты.
Результаты работы:
- Число обращений выросло на 13%, при увеличении стоимости обращения на 25% (обусловлено масштабированием, а также появлением новых крупных конкурентов);
- Благодаря подключению торговой кампании в Google Ads – объем продаж с сайта вырос с 5 до 18% (в KPI было заложено 10%).
5 год работы (2019 год)
Основные задачи:
- Увеличить объемы продаж через корзину на сайте (до 20%);
- На рынке продолжался рост числа конкурентов, поэтому перед нами стояла жесткая задача – удержание стоимости обращения.
- Бюджет со стороны клиента был частично уменьшен (по нашей рекомендации перераспределен в пользу Яндекс.Маркета и наружной рекламы), поэтому плана по числу обращений конкретно с рекламы перед нами не стояло.
Выполненные работы:
- Переход с торговой кампании на Smart-кампанию позволил снизить стоимость входящего обращения с 300 рос. руб. до 70 рос. руб.
- Снова возвратили электронную торговлю и начали работу с ремаркетингом по электронной торговле, используя данные прошлых покупок, средний чек покупок, удаленных товаров из корзины и др. данные.
- Более тщательная работа с анализом рекламы конкурентов.
- Переход на собственную систему импорта расходов в Яндекс.Метрику и Google Analytics.
- Настройка и подключение автоматизированных отчетов с помощью Google Data Studio.
- Запуск видеокампаний.
- Тщательная работа с расширениями.
- Расширение геотаргетинга на всю Россию.
Результаты:
- Падение числа обращений с контекстной рекламы на 30%, однако в целом рост на 15% (за счет подключения наружной рекламы и маркета в разных городах).
- Снижение стоимости обращения на 15% (в условиях жесткой конкуренции на рынке – это был хороший результат).
- Увеличение заказов через корзину до 27%
6 год работы (2020 год)
К сожалению, 6 год работы для клиента оказался плачевным с марта по сентябрь работы по клиенту не осуществлялись, в связи с трудным положением бизнеса во время пандемии.
Однако уже в сентябре работа по проекту продолжилась. Естественно, цифры за весь год весьма относительны. Так, например, общее число обращений снизилось, поскольку клиент практически не работал в этот период, снижение стоимости обращения может быть обусловлено в том числе уходом с рынка некоторых крупных конкурентов.
Единственным бесспорным достижением нашей работы за 2020 год стало существенное увеличение продаж через корзину на сайте. Если посмотреть график по уровню дохода через корзину на сайте, то видно, что в 2020 году он достиг своего максимума за весь период работы. Это связано с тщательной проработкой направлений в торговых кампаниях, добавлением новых форматов рекламы, баннеров и многим другим.
Планы на 7 год работы (2021 год)
Работа по данному проекту ведется очень активно, и на 2021 год запланированы крупные работы
- Переход на Google Analytics 4 (ведутся активные работы по настройке).
- Подключение сквозной аналитики (Связка CRM + модуль сквозной аналитики Calltouch , интеграция через сервис Albato.
- Продолжение расширения SMART-кампаний.
- Перевод управления Яндекс.Маркетом под наш контроль.
- Тестирование новых инструментов Яндекс.Директ и Google Ads ( Реклама в Справочнике, реклама в Метро, реклама InDoor , и пр. инструменты).
